通关技巧-政治
复习重点推荐>>>
成人高考《政治》常识考点(一)
1. 马克思主义哲学研究的对象是:关于自然、社会、思维发展的一般规律。
2. 对待马克思主义的科学态度是:坚持和发展。
3. 物质的唯一特性是客观实在性。这里的客观实在是指:不以人的意志为转移。
4. 在实际工作中,要注意掌握分寸,防止过或不及,其关键在于:把握事物的度。
5. 矛盾的基本属性是:斗争性和同一性。
6. 实践的科学含义是:人们能动地改造和探索现实世界的一切社会性的客观物质活动。
7. 绝对真理和相对真理的关系是:真理的2种不同属性。
8. 人民群众创造历史的活动最基本的首要的是:生产实践活动。
9. 人类社会变化、发展的决定性因素是:物质资料的生产方式。
10. 英雄史观的理论出发点是:社会意识决定社会存在。
11. 自由王国实际指的是:共产主义社会。
12. 标志着毛泽东思想萌芽的代表著作是:《中国社会各阶段的分析》和《湖南农民 运动考察报告》
13. 我国人民民主专政政权的组织形式及政体是:人民代表大会制度。
14. “二次革命论”是由谁提出来的:陈独秀。
15. 1927年大革命失败后中国社会的性质是:半殖民地半封建社会。
16. 全国第一块农村根据地是:井冈山根据地
17. 标志第一次国共合作的统一战线正式形成的会议是:国民党一大
18. 1931年11月,中华苏维埃共和国临时中央政府成立的地点是:江西瑞金
19. 中共八大指出,社会主义改造完成后党的中心任务是:把我国尽快地从落后的农业国变为先进的工业国。
20. 新民主主义经济的领导力量是:国营经济
21. 毛泽东正式向全党全国提出探索中国社会主义建设道路的文章是:《论十大关系》
22. 1974年2月,毛泽东在会见赞比亚总统卡翁达时提出的重要观点是:关于三个世界的划分的观点
23. 马克思主义同中国实际相结合的第二次历史性飞跃的理论成果是:邓 小 平理论
24. 把“三个代表”重要思想确立为中国共 产 党的指导思想,是在:党的十六大
25. 邓 小 平指出,“贫穷不是社会主义,社会主义要消灭贫穷”。这个判断:体现了社会主义本质的要求
26. 坚持党的基本路线不动摇,关键是:坚持以经济建设为中心不动摇。
27. 构建社会主义和谐社会是巩固执政党地位的:社会基础
28. 执行社会主义宏观调控职能的是:社会主义国家的政府
29. 在我国现阶段的所有制结构中,国有经济对经济发展起主导作用。这主要体现在:对国民经济发展的控制力上
30. 我国现阶段的非公有制经济是:社会主义市场经济的重要组成部分。
31. 健全社会主义法制的基本要求是:有法可依、有法必依、执法必严、违法必究
32. 社会主义道德建设的原则是:集体主义
33. 邓 小 平提出的和平与发展两大时代主题的核心是:发展
34. “一国两制”构想的起初提出,是为了解决:台湾问题
35. 我国解决民族问题的根本出发点和归宿是:各民族的共同繁荣
36. 世界观是:人们对整个世界的总的看法和根本观点
37. 形而上学唯物主义物质观的错误是:不懂得个性和共性的辨证关系
38. 只承认绝对运动,否认相对静止,会导致:形而上学不变论
39. 事物发展的必然性产生于:事物内部的根本矛盾
40. 一个认识是否具有真理性,关键在于:是否符合客观事物的规律性
41. 感觉、知觉和表象,这是:感性认识的三种形式
42. 不属于生产力实体性要素的是:科学技术
43. 历史唯物主义的人民群众这一范畴是指:推动社会进步的绝大多数社会成员的总和
44. 生产力与生产关系的关系是:内容和形式的关系
45. 在自由和必然的关系问题上,马克思主义哲学认为自由是指:对必然的认识和对客观世界的改造
46. 社会进步的含义指:社会由低级向高级的发展
47. 标志中国半殖民地半封建社会基本形成的不平等条约是:辛丑条约
48. 半殖民地半封建社会中华民族最迫切的任务是:进行反帝反封建的民主革命,求得民族独立和人民解放
49. “工农武装割据”的基本内容是:土地革命
50. 在革命统一战线的两个联盟中,基本的主要的联盟是:工农联盟
51. 毛泽东指出,解决中国一切革命问题的最基本的根据是:认清中国社会的特殊国情
52. 我党提出把工作重点由乡村转移到城市的会议是:七届二中全会
53. 新民主主义的前途是:社会主义
54. 1949年9月,中国人民政治协商会议第一次会议选举谁为中央人民政府主席:毛泽东
55. 新中国成立后,毛泽东指出我国工人阶级和民族资产阶级的矛盾属于:人民内部矛盾
56. 我党对待官僚资本和民族资本采取的政策分别是:没收 和平赎买
57. “一五”计划确定的优先发展的重点是:重工业
58. 邓 小 平理论形成的时代要求是:时代主题的转换和新技术革命浪潮的兴起
59. 我们党的立党之本、执政之基、力量之源是:始终做到:三个代表
60. 社会主义的根本原则和发展目标是:最终达到共同富裕
61. 社会主义社会发展的直接动力是:改革
62. 党的十六大提出了全面建设小康社会的奋斗目标
63. 当前经济体制改革的重点和中心环节是:深化国有企业改革
64. 社会主义经济体制是指:社会主义生产关系的具体形式及其运动方式
65. 依法治国,作为党领导人治理国家的基本方略,被确立下来是在:党的“十五大”
66. 社会主义精神文明建设的性质和方向取决于:社会主义思想道德建设
67. 坚持我国独立自主的和平外交政策,放在首位的应该是:国家主权和国家利益
68. 进入20世纪90年代,我国对外开放发展到一个新阶段,其显著特点是:多层次、宽领域、全方位开放的格局初步形成
69. 台湾问题的本质是:中国的内政问题
70. 党的建设的基本问题是:建设一个什么样的党和怎样建设党
成人高考《政治》常识考点(二)
1.量变是指事物:数量的增减和场所的变更
2.矛盾的基本属性是:斗争性和同一性
3.人民民主专政是:我国国体
4.只承认绝对运动,否认相对静止,会导致:相对主义诡辩论
5.唯心主义的基本形式是:主观唯心主义和客观唯心主义
6.哲学的基本问题是:思维和存在的关系问题
7.哲学上的两大基本派别是指:唯物主义哲学和唯心主义哲学
8.正确发挥意识能动作用的客观前提是:对客观事务及其规律的正确反映
9.马克思主义哲学研究的对象是:自然、社会、思维
10.社会主义民主政治的组织原则是:民主集中制
11.唯物辩证法与黑格尔辩证法的本质区别在于:前者是以唯物主义为基础的,后者是以唯心主义为基础的
12.意识能动作用最重要的表现是:通过指导实践改造客观世界
13.意识是客观存在的主观映像是指:意识的内容是客观的,形式是主观的
14.哲学上的二元论:动摇于唯物主义和唯心主义之间最后必然陷入唯心主义的哲学
15.毛泽东正式向全党全国提出探索中国社会主义建设道路的文章是:《论十大关系》。
16.1974年2月,毛泽东在会见赞比亚总统卡翁达时提出的重要观点是:关于三个世界的划分的观点。
17.1931年11月,中华苏维埃共和国临时中央政府成立的地点是:江西瑞金。
18.自由王国实际指的是:共产主义社会。
19.标志着毛泽东思想萌芽的代表著作是:《中国社会各阶段的分析》和《湖南农民运动考察报告》。
20.我国人民民主专政政权的组织形式及政体是:人民代表大会制度。
21.标志中国半殖民地半封建社会基本形成的不平等条约是:辛丑条约。
22.实践的科学含义是:人们能动地改造和探索现实世界的一切社会性的客观物质活动。
23.马克思主义哲学研究的对象是:关于自然、社会、思维发展的一般规律。
24.绝对真理和相对真理的关系是:真理的两种不同属性。
25.物质的唯一特性是客观实在性。这里的客观实在是指:不以人的意志为转移。
26.矛盾的基本属性是:斗争性和同一性。
27.人类社会变化、发展的决定性因素是:物质资料的生产方式。
28.不属于生产力实体性要素的是:科学技术。
29.量变是指事物:数量的增减和场所的变更。
30.人类社会发展的根本动力是:社会基本矛盾运动。
31.马克思主义哲学区别于其他一切旧哲学的最主要、最显著的特征是:实践性
32.唯物辩证法与黑格尔辩证法的本质区别在于:前者是以唯物主义为基础的,后者是以唯心主义为基础的。
33.质量互变规律揭示了:事物发展变化的基本形式或状态。
34.个体劳动者的主要收入属于:劳动收入。
35.马克思主义哲学研究的对象是:关于自然、社会、思维发展的一般规律。
36.在实际工作中,要注意掌握分寸,防止过或不及,其关键在于:把握事物的度。
37.物质的唯一特性是客观实在性。这里的客观实在是指:不以人的意志为转移。
38.“一国两制”的前提是:坚持一个中国原则。
39.生产关系对生产力的反作用表现在:促进或阻碍生产力的发展。
40.社会意识相对独立性突出的表现是:社会意识对社会存在有反作用。
41(问答题)(辨析题)矛盾的斗争性是事物发展的根本动力。
答案: 错误。
(1)矛盾是事物发展的根本动力。同一性和斗争性是矛盾所固有的两种基本属性。矛盾的同一性和斗争性相结合,构成了事物的矛盾运动,推动着事物的变化发展。
(2)矛盾的同一性在事物发展中的作用表现在:第一,同一性是事物存在和发展的前提,在矛盾双方中,一方的发展以另一方的发展为条件,发展是在矛盾统一体中的发展。第二,同一性使矛盾双方相互吸取有利于自身的因素,在相互作用中各自得到发展。第三,同一性规定着事物转化的可能和发展的趋势。事物之所以能够转化,是由于事物内部矛盾双方具有相互贯通的关系。事物的发展方向、趋势不是随意的,而是有规律地向自己的对立面转化。矛盾的斗争性在事物发展中的作用表现在:第一,矛盾双方的斗争促进矛盾双方力量的变化,竞长争高、此消彼长,造成双方力量发展的不平衡,为对立面的转化、事物的质变创造条件。第二,矛盾双方的斗争是一种矛盾统一体向另一种矛盾统一体过渡的决定力量。矛盾双方的相互排斥和否定促使旧的矛盾统一体破裂,新的矛盾统一体产生,旧事物发展为新事物。
(3)矛盾的双方都不能孤立地起作用,它们对事物发展的作用只有在二者结合中才能实现。
42.(问答题)(辨析题)改革是一场新的伟大革命。
答案: (1)改革是为了扫除发展社会生产力的障碍,使中国摆脱贫穷落后的状况。改革是一场新的伟大革命,即改革是中国的第二次革命。
(2)说改革是中国的第二次革命,是从解放生产力,扫除发展生产力障碍的这个意义而言的。从1978年以来,我国社会主义生活最引人注目的变化是经济体制及其他相关体制的改革。这些改革促进了社会生产力的发展,引起了整个社会关系和社会生活的深刻变化。
43.(问答题)(简答题)简述社会意识相对独立性的主要表现。
(本题10分)
答案: 社会意识的相对独立性主要表现在:
(1)社会意识的发展变化和社会存在的发展变化具有不完全同步性和不平衡性。从根本上说,社会意识的发展变化最终取决于社会存在的发展变化,但并非绝对一致、完全平衡。某一民族或地域经济落后而文化发达,另一民族或地域经济发达而文化落后也是经常发生的。
(2)社会意识的发展具有自己的历史继承性。从根本上说,社会意识的发展变化取决于社会存在的发展变化,但同时也受社会意识自身传统的影响。
(3)各种形式的社会意识之间相互作用、相互影响。从根本上说,社会意识的发展变化取决于社会存在的发展变化,但不同社会意识形式之间也有相互作用、相互影响。
(4)社会意识对社会存在具有反作用。从根本上说,社会存在决定社会意识,但某种社会意识一旦形成,就会反过来对社会存在产生巨大的反作用,先进的社会意识促进社会发展,落后的社会意识阻碍社会发展,这是社会意识相对独立性最突出的表现。
44.(问答题)(简答题)中国的新民主主义革命为什么必须由无产阶级领导?
(本题10分)
答案: 中国无产阶级之所以能够成为新民主主义革命的领导阶级,是由其自身的特点和优点决定的。中国无产阶级具有同世界各国无产阶级一样的优点:不占有任何生产资料,富于组织性和纪律性,是历史上最进步的阶级。此外,中国无产阶级还有许多其他国家无产阶级所不具备的特点,主要是:
(1)中国无产阶级成长于半殖民地半封建社会中,深受帝国主义、封建主义和官僚资本主义的三重压迫,这些压迫的严重性、残酷性是世界上少有的,因而中国无产阶级更富于革命的彻底性和坚决性。
(2)中国的产业工人大多来自破产的农民,因而比较了解农民的痛苦和要求,便于和农民结成天然的联盟。
(3)中国无产阶级人数虽不多,但特别集中,易于形成强大的战斗力。
45.(问答题)(简答题)简述中国特色社会主义政治发展道路的基本内涵。
(本题10分)
答案: 中国特色社会主义政治发展道路,是我们党团结带领全国各族人民在新的历史条件下成功开辟和坚持的一条发展民主政治的新路,是中国特色社会主义道路在政治发展方面的重要展开,其基本内涵主要包含四个方面:
(1)在中国共产党领导下,立足基本中国国情,扩大社会主义民主,建设社会主义法治国家,发展社会主义政治文明。
(2)坚持党的领导、人民当家作主、依法治国有机统一,坚持和完善人民代表大会制度、中国共产党领导的多党合作和政治协商制度、民族区域自治制度以及基层群众自治制度。
(3)与经济社会发展需要和人民政治参与积极性不断提高相适应,深化政治体制改革,推进社会主义政治制度自我完善和发展。
(4)坚持以人为本,尊重和保障人权,促进社会公平正义,实现好、维护好、发展好最广大人民的根本利益。
46.(问答题)(论述题)江泽民指出:“马克思主义具有强大生命力的奥秘,就在于它具有与时俱进的理论品质。”试用真理的绝对性和相对性统一的原理,阐明对待马克思主义的正确态度。
(本题20分)
答案:(1)任何真理都既是绝对的,又是相对的,是绝对性与相对性的统一。真理的绝对性亦称绝对真理,是指:第一,任何真理都标志着主观与客观之间的符合,都包含着不依赖于人和人的意识的客观内容,这一点是无条件的、绝对的。第二,人类认识按其本性来说,能够正确认识无限发展着的物质世界,认识每前进一步,都是对无限发展着的物质世界的接近,这一点也是绝对的、无条件的。真理的相对性亦称相对真理,是指:第一,从认识的广度来看,任何真理都只是对客观世界的某一阶段、某一部分的正确认识。第二,从认识的深度来看,任何真理都只是对客观对象一定方面、一定层次和一定程度的正确认识,认识反映事物的深度是有限度的,或是近似性的。
(2)马克思主义正确反映了世界特别是社会发展的普遍规律,是经过长期实践证实了的科学真理,它具有绝对性,因此必须坚持把它作为我们的指导思想。马克思主义并没有穷尽对一切事物及其规律的认识,仍然需要随着实践的发展而发展,它又具有相对性,因此必须在新的实践中加以丰富和发展。
(3)与时俱进是马克思主义的理论品质。既坚持又发展是对待马克思主义的正确态度。必须反对把马克思主义僵化的教条主义和否定马克思主义指导作用的错误倾向。
简答题
01.马克思主义哲学与具体科学的关系
答:(1)马克思主义哲学与具体科学是一般与个别的关系,二者之间存在着既相互区别又相互联系的辩证统一关系。
(2)它们之间的区别表现在:两者虽然都是以客观物质世界为对象的,但具体科学研究的是物质世界某一特殊领域或某一特定层次的本质和规律,因而其理论具有个别性和特殊性;马克思主义哲学以包括自然、社会和人类思维在内的整个世界的最一般规律作为自己的研究对象,因而其理论具有一般性和普遍性。
(3)它们之间的联系表现在:一方面,马克思主义哲学以具体科学为基础,没有具体科学的发展,马克思主义哲学既不可能产生,也不可能发展;另一方面,具体科学以马克思主义哲学为指导,马克思主义哲学为具体科学的研究提供正确的世界观和方法论。
02简述物质与运动的关系
答:(1)辩证唯物主义认为,物质即不依人的意志为转移的客观实在,运动即一切事物的一切变化与过程。
(2)物质与运动是不可分割的关系。这表现在:一方面,运动是物质的运动,运动离不开物质。因为物质是世界上一切运动的主体与客观基础,设想离开物质主体的运动必然主张以意识为主体的运动,最终陷入唯心主义。如黑格尔“绝对观念”的运动。另一方面,物质是运动的物质,物质离不开运动。因为运动是世界上一切物质的存在形式与根本属性,设想离开运动的物质必然主张静止是物质的本质属性,最终陷入形而上学。如欧洲形而上学唯物主义的物质观。
(3)辩证唯物主义认为运动是物质的根本属性,物质与运动不可分,实质上是承认了运动的绝对性,但这并不意味着完全否认静止的存在。恰恰相反,辩证唯物主义认为在绝对运动中存在着某种相对静止的状态,但相对静止不是物质的本质属性,而是绝对运动的一种特殊状态。
03.简述运动与静止的关系
答:(1)运动即一切事物的一切变化与过程。静止主要是指物质运动的三种特殊状态:其一是相对于特定的参照系而言,事物没有发生机械运动。其二是相对于质变而言,事物仍处在量变阶段。其三是相对于某种具体的物质运动形式而言,事物没有发生那种形式的运动而处于其他形式的运动之中。
(2)运动与静止是对立统一的辩证关系。一方面,运动与静止的对立表现在:运动是绝对的,静止是相对的,二者相互区别,不可混淆。所谓运动是绝对的是说,运动是物质的根本属性,任何事物在任何条件下都是永恒运动的,是无条件的。所谓静止是相对的是说,静止是运动在特定条件下的特殊状态,是有条件的。另一方面,运动与静止的统一表现在:运动和静止是相互依存、相互贯通的,即所谓动中有静、静中有动。
(3)在运动与静止关系上有两种形而上学的错误:一种是割裂运动与静止的关系,否认运动,只讲静止,将静止绝对化的形而上学不动论;一种是割裂运动与静止的关系,只讲运动,否认静止的形而上学相对主义和诡辩论。
04.矛盾同一性和斗争性及其相互关系
答:(1)在唯物辩证法中,矛盾是反映事物内部或事物之间对立和同一及其关系的哲学范畴,对立和同一是矛盾所固有的两种相反而又相成的基本关系或基本属性。矛盾的同一性是指矛盾对立面之间相互依存、相互吸引、相互贯通的趋势和性质。具体表现为:第一,矛盾对立面之间的相互依赖性。这是指矛盾双方各自以对方为自己存在和发展的条件,互为媒介,相互依存,任何一方都不能脱离对方而孤立地存在和发展。第二,矛盾对立面之间的相互贯通性。这是指矛盾双方不仅相互依存,而且存在相互渗透的渠道和桥梁,相互转化的趋势和可能。矛盾的斗争性是指矛盾对立面之间相互排斥的属性,体现着对立双方相互分离的倾向和趋势。
(2)矛盾同一性与斗争性之间是对立统一的辩证关系。第一,矛盾同一性与斗争性的统一表现在二者之间是相互联系、不可分离的关系。即同一性不能脱离斗争性而存在,没有斗争性就没有同一性;斗争性也不能脱离同一性而存在,没有同一性也就没有斗争性。第二,矛盾同一性与斗争性的对立表现在二者之间是相对绝对、相互区别的关系。即矛盾同一性是相对的,矛盾斗争性是绝对的。
05.对立统一规律是唯物辨证法的实质与核心
答:(1)在唯物辩证法的理论体系中,对立统一规律占有十分重要的地位,是唯物辩证法的实质与核心。因为:第一,唯物辩证法揭示的是事物的联系与发展,而对立统一规律揭示的是普遍联系的根本内容和永恒发展的根本动力,也就是说,所谓联系实质上是矛盾与矛盾、矛盾这方面与矛盾那方面的联系,所谓发展实质上是矛盾推动下的发展。第二,唯物辩证法是有着丰富内容的完整的科学理论体系,而对立统一规律则是理解唯物辩证法全部理论的关键,唯物辩证法的其他规律与范畴都是对立统一规律在某二方面的展开。第三,唯物辩证法与形而上学是两种根本对立的世界观,而是否承认矛盾则是唯物辩证法与形而上学对立的焦点。第四,唯物辩证法既是世界观,又是方法论,矛盾分析法则是最根本的认识方法。
(2)唯物辩证法是一个内容丰富的完整理论体系,对立统一规律是唯物辩证法的实质与核心,但不是唯物辩证法的总体。马克思主义哲学要求我们要在掌握对立统一规律的基础上,全面完整地掌握唯物辩证法的科学理论体系。
06.简述实践及其对认识的决定作用
答:(1)实践是指人类能动地改造和探索现实世界的一切社会性的客观物质活动,具有自觉能动性、客观物质性和社会历史性等三个特点,表现为生产实践、处理社会关系实践和科学实验等三种基本形式。
2)在实践和认识的辩证关系中,实践是认识的基础,实践决定认识。这表现在:第一,实践是认识的来源。首先,实践的需要决定认识的产生,也就是说,人们改造世界的需要产生了认识世界的需要。其次,实践出真知,人类的一切认识,无论直接经验,还是间接经验,归根结底都是来自实践的。第二,实践是认识发展的动力。首先,实践不断给人们提出新的认识课题,并提供解决新课题的新的经验材料。其次,实践的发展不断给人们提供日益完备的认识手段和物质条件。再次,实践不断推动人的认识能力的提高。第三,实践是检验认识正确与否的唯一标准,除此之外,再无其他标准。第四,实践是认识的最终目的,正确认识世界的目的是为了有效改造世界。
07.简述感性认识与理性认识的关系
答:(1)感性认识是人们通过感觉器官对于事物的现象、事物的各个片面和外部联系的认识,具有直接性和具体性两个特点,包括感觉、知觉和表象三种形式,是认识发展的低级阶段。理性认识是人们通过抽象思维而得到的关于事物的本质、事物的全体和内在联系的认识,具有间接性和抽象性两个特点,包括概念、判断和推理三种形式,是认识发展的高级阶段。
(2)感性认识和理性认识之间是对立统一的辩证关系。感性认识与理性认识的对立主要表现在:它们是认识发展过程中两个不同的阶段,在内容、特点、形式上都有质的区别。感性认识与理性认识的统一主要表现在:第一,感性认识和理性认识是相互联系的。一方面,理性认识依赖于感性认识。没有感性认识的积累。理性认识就是无源之水,无本之木。这是认识论中的唯物论。另一方面。感性认识有待于深化、发展为理性认识。感性认识不上升到理性认识,就不能把握事物的本质与规律。这是认识论中的辩证法。第二,感性认识和理性认识是相互渗透的。—方面,感性认识中有理性因素。另一方面,理性认识中也渗透了感性因素。
08.构建社会主义和谐社会的内涵和意义
答:内涵:我们所要建设的社会主义和谐社会应该是民主法治、公平正义、诚信友爱、充满活力、安定有序、人与自然和谐相处的社会。
(1)理论意义:
第一,是对人类社会发展规律认识的深化,是对马克思主义关于社会主义社会建设理论的丰富和发展。第二,是对社会主义建设规律认识的深化,丰富和发展了中国特色社会主义的理论。第三,是对共产党执政规律认识的深化,是党执政理念的升华。
(2)实践意义:
第一,构建社会主义和谐社会是中国特色社会主义事业“五位一体”(政治、经济、文化、社会、生态建设)总体布局的重要组成部分,有利于全面推进中国特色社会主义事业。第二,有利于调动社会各方面的积极性。第三,有利于进一步解决人民群众最关心、最直接、最迫切的利益问题。第四,有利于增强民族凝聚力和抗风险能力,更好的维护国家主权、安全和发展利益。
09.社会存在与社会意识的辩证关系
答:(1)社会存在,是指社会生活的物质方面,是社会存在与发展中各种物质要素、物质活动和物质关系的总和。社会意识,是指社会生活的精神方面,是社会存在与发展中各种意识要素、精神活动和思想关系的总和。
(2)社会存在决定社会意识,社会意识依赖社会存在。主要表现在三个方面:
第一,社会存在决定社会意识的产生和内容。第二社会存在决定社会意识的发展和变化。第三,社会存在的阶级性决定社会意识的阶级性。
(3)社会意识的相对独立性及其对社会存在的反作用主要表现在五个方面:
第一,社会意识的发展水平和社会经济的发展水平具有不完全平衡性。
第二,社会意识的发展变化和社会存在的发展变化具有不完全同步性。
第三,每一种形式的社会意识具有自己纵向的历史继承性。
第四,不同形式的社会意识之间具有横向的相互作用、相互影响。
第五,社会意识相对独立性最突出的表现是社会意识对社会存在具有反作用。
10.如何坚持一切从实际出发,实事求是
答:(1)从实际出发,实事求是,就要按照客观事物的本来面貌去认识事物,这就是坚持物质第一性,意识第二性的辨证唯物主义一元论的原理。(2)从实际出发,实事求是,就要按照事物不断变化发展的实际去认识事物,这就是坚持运动是物质的根本属性和存在方式的原理。
(3)从实际出发,实事求是,要求我们做任何事情都要考虑时空条件,这就是坚持时空是运动着的物质的存在形式原理。
(4)从实际出发,实事求是,揭示客观事物固有的规律性,按客观规律办事,这就是坚持物质运动具有客观规律的原理。
通关技巧-英语 成考入学考试的英语作文基本都考的是写信,所以老师也给同学们整理了几篇范文: 鼓励信 假定你是Jack,给在泰州工作的笔友王强写信,要点如下:1. 非常高兴得知王强在准备高考,并鼓励他一定能克服各种困难取得好成绩。2. 告诉他你将去无锡旅游,你将乘火车于5月1日早晨6点到达,请他接站,并请他帮你安排1至4日的住宿(旅馆最好靠近市中心,房间可以小一些,但不要太贵)。3. 此外,你还要他帮你订5日返回上海的火车票。 Dear Wang Qiang, I'm glad to learn that you are busy preparing for college entrance exams. Where there is a strong will, there is a success. I am sure that you will overcome all kinds of difficulties in your study. I'm planning to go to wuxi and look around in the city for a few days. I'll take the train and arrive at 6 o'clock a.m. on May 1st. Will you please come and meet me at the station? I'm going to stay in wuxi till May 4th. Please help me book a hotel room. I hope to stay in a hotel around the downtown area but the price shouldn't be very high. I don't mind if the room is small. Another thing. Can you book a ticket for me back to Shanghai on 4th?All the best!Jack 婉拒信 你(Li Yuan)的朋友(Jack)邀请你暑期到他家乡农村去度假。写封信委婉拒绝。信的内容如下:对邀请表示感谢;不能如愿的原因;提出弥补的方式。 Dear Jack,Thank you so much for your warmhearted invitation of spending my summer vocation at your hometown, a quiet and beautiful country. I have been waiting for it so long. But, unfortunately, I have to go back my own hometown, a hot and noisy city, for my sister just got an admission from a university and she is preparing for it. As an elder brother, I must help her in both mental and physical ways. So sorry for missing the good chance to join you at your home. Next year, we will spend summer together, our summer. Send my greetings to your parents, please. I'll visit them next year.Take care ! 留言条 假设你叫王红,于5月7日星期五在学校门口看到两则海报后,决定邀你的好友Harry一起参加其中的一项活动。你赶到Harry住处时,发现他不在。请根据海报内容给Harry 写一张留言条,要他选择其中的一项活动并尽快通知你。 Dear Harry, It’s a pity that you are not in, so have to leave you a note. There are two posters at the school gate. One is about the movie “ Gone with the Wind”, which is to be shown at 7 Saturday evening in the school hall. The other is about a lecture on women’s liberation, which is to be given by Prof. Betty Power, writer of the book “ The Other Half of the Sky”, at 7 on Saturday evening in Room 101. I’d like to invite you to either the movie or the lecture, but I wonder which you would prefer. Please let me know your decision as soon as possible.Wang Hong 抱怨信 你(Li Yuan)刚买了一块表,但你不满意,因为它总有毛病。写一封抱怨信。其内容如下:买表的时间、地点;出现的问题;要求退货。 To Whom It May Concern: Three days ago, I just got the watch I ordered from your store. You sent it on time and thanks for that. But I found several problems. First, the color is not what I wanted. I wanted golden, but you gave me silver instead. I thought that would be OK, if everything else is good enough. The stranger thing happens. The watch gets five minutes slower every day, so I have to keep correcting it. Because of this, I feel nervous about being late for work. I really cannot stand it any longer. So I have to write this letter to request giving the watch back to you and full money back to me. Along with the letter is the copy of the order. Thank you. I am looking forward to hearing from you.Yours sincerely,Li Yuan 注意事项 写信的话,时间、地点、活动、交通方式很重要哦,你要学会用英语表达几月几日,星期几,上午、中午、下午、晚上,还有具体是几点。 月份: 一月:January; 二月:February; 三月:March; 四月:April; 五月:May; 六月:June; 七月:July; 八月:August; 九月:September; 十月:October; 十一月:November;  十二月:December;  星期: 星期一:Monday; 星期二:Tuesday; 星期三:Wednesday; 星期四:Thursday; 星期五:Friday; 星期六:Saturday; 星期天:Sunday; 中文日期: 1、每月的一号,二号,三号分别是1st, 2nd, 3rd; 二十一,二十二,二十三是21st, 22nd, 23rd; 三十一是31st; 其他的日期只要在数字后面加th就可以了(包括 一,十二,十三)。 2、中文是年月日,而英文是日月年或月日年,比如2012.1.30:Jan.31st,2012或者31st,Jan,2012 (具体几点可直接用阿拉伯数字表示,如at 8:10) 3、表示在哪一年或哪一月用介词in,例如in 1998 表示在具体某一天用介词on。 in the morning在早上 in the afternoon在下午 in the evening在晚上  活动: picnic:野餐; camp:露营; party:派对; meeting:会议; trip:旅游; travel:旅行; mountain:爬山; English corner:英语角; speech:演讲; activity:活动; sports meeting:运动会; excise:运动; do homework:做家庭作业; English evening:英语晚会; 地点: school:学校; bus station:公交车站; train station:火车站; subway:地铁; airport:机场; classroom:教室; meetingroom:会议室;  shool gate:学校大门; destination:目的地; activity room:活动室;  hall:大厅;  home:家。 交通方式: by bike(骑自行车); by bus(乘公共汽车); by car(乘出租车); by train(乘火车); by ship(乘轮船); by plane(乘飞机); on foot步行。 首先声明:这可不是“三长一短选最短,三短一长选最长,长短不一选择B,参差不齐就选D,同长为A,同短为C” 当然,英语考试,就算一个也不会,咱也不能空着,那么多选择题,随便选一个,也能蒙对几个。以下这份英语考试蒙题技巧,真的大大提高了选择题的正确率,拯救了无数考生,赶紧“GET”吧。 1. 异项保留要遵从 当选项中出现意思明显相反的两项时,正确答案大概率就在这两个选项中。 举个例子: 题干:Which statement is correct? A. Simu had dinner yesterday. B. Simu didn't have dinner yesterday. C. balabala(不重要) D. balabala(不重要) 昨天要么吃了晚饭,要么没吃晚饭。所以在这两个选项中,一定有一个是对的。 蒙题时,看到有两个意思完全相反的选项,直接锁定内容,因为正确答案很可能就藏在这两个选项中! 2. 均匀原则要遵从 针对阅读题,出卷老师他们肯定是想把这篇文章,最大化地利用起来。 所以考点一般不会密集地出现在一个自然段中,而是会均匀分布在文章的每个段落。 题目顺序常会跟着行文走,例如,第1小题对应开头,第2小题对应中间,第3小题对应结尾,而最后一小题一般就是中心主旨题。 当宝子们选择开蒙时,均匀原则可以让我们在概率上,更准确地找到正确答案所在的段落! 3. 全选选项要遵从 All of the above 这个选项,想必宝子们一定不会陌生,毕竟咱们在做题时见得多了去了。 但不知道大家有没有发现,当全选出现,它很大概率就会是正确答案。 其实这背后也是有原因的,毕竟不止学生会内卷,人家出卷老师也会内卷! 出一张好试卷就是要涵盖尽可能多的知识点,在有限的篇幅里,最好的方法就是出一个全选选项,可涵盖所有选项涉及到的知识点。 None of the above 这个全不选选项也是同理,宝子们学废了吗? 4. 同义替换要遵从 在英语考试中,得选择题者得天下。而很多选择题的正确答案,其实只是用了同义替换这个障眼法。 何为同义替换?a lot of 就是 plenty of 的同义替换,damage 就是 harm 的同义替换,hold 就是 think 的同义替换... 当我们太菜能力有限,只能靠蒙的时候,看准同义词,蒙对的概率就会大大提高。 5. 题干细节要遵从 题靠蒙了,细节上就更别再掉链子了。我们得把题干里有限的单词,看出无限的可能。 打个栗子,当题干里出现 imply 这个词,符合原文表述的咱就得第一时间排除。而那个在原文里找不到的选项,才有可能是正解! 因为 imply /ɪmˈplaɪ/的意思是暗示,推断,你原文大大咧咧就出现的信息,当然不是说是暗示了。 1. 绝对性表述要不得 当选项中出现 all, completely, never, must 这些含有绝对意思的单词,那这个选项大概就是错的。 其实这也很容易理解,想想在日常中,如果有人经常用很绝对的语气跟你说话,你是不是会觉得 ta 很不靠谱? 这里四木也要提醒宝子们一点,在当题干是选择 correct ,绝对性表述咱们就不要选;而当题干是选择 incorrect ,别犹豫,立刻选! 2. 不合群选项要不得 例如在四个选项中,三个是名词,一个是动词。那这个动词选项就太特殊啦,最好不要选。 再举个栗子,如果三个选项都是现在完成时,就一个选项是一般现在时,那这个一般现在时选项大概率不会是正确答案。 3. 主观猜测要不得 出卷老师往往会给大家设这样一种坑:乍一看某个选项很符合我们的常识,但其实原文中根本就没有提及到,这种选项也达咩。 打个栗子: Which sentence best describes a lesson from the story? A.Only trained doctors and nurses can provide first-aid. B.Knowledge from books can help solve real-life problems. C. balabala(不重要) D. balabala(不重要) 咱们都知道“纸上得来终觉浅,绝知此事要躬行”。所以A选项是更符合生活常识的。 但这篇文章讲的是,一个小女孩学习了急救书上的知识,然后在危急时刻,救下了一个坠马小男孩。所以结合文本,B才是正解。 因此宝子们在蒙题时,千万不要主观臆断瞎蒙哦。 4. 主旨题细节化要不得 咱们都知道阅读题有两大类,一种是主旨题,一种是细节题。 根据经验,我们知道主旨题一般是最后一题。大家在主旨题上开蒙的时候,切记要避开那些虽然符合原文,但太过细节的东西。 主旨题要选的一般是有概括性的选项,而不只是在某个句子出现的信息点。 而什么选项才具有概括性呢?四木教宝子们一招:找高频词。如果一个词在文章中反复出现,那它一般都和主旨有关。 5. 选项失衡要不得 在完形填空中还有一个小窍门,可以帮助大家蒙对题。 如果完形填空有20题,那我们就可以遵循5A 5B 5C 5D的原则。也就是说,这20道题里,A B C D 作为正确答案的次数应该是均匀的。 所以当宝子们在一篇完型填空里,选了7个C和1个A,这时咱就得警惕起来了。选项一失衡,得分很有可能就会很难看。成人高考英语,一个也不会,有这份“蒙题技巧”我就放心了
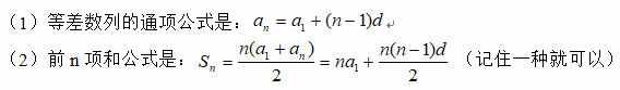
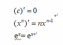
通关技巧-高数 一、选择题 二、填空题 三、解答题 上面举例符号 ∵是因为的意思 ∴是所以的意思 交集和并集 1、取集合A和集合B的公共部分,记作A∩B。 2、取集合A和集合B的全部元素,记作A∪B。 简单逻辑 1、充分条件:如果A成立,那么B成立,“A推出B,B不能推出A”。 2、必要条件:如果B成立,那么A成立,“B推出A,A不能推出B”。 3、充要条件:如果A→B,又有A←B,“A推出B,B推出A”。 幂和对数的运算法则 函数部分 1、绝对值的不等式 绝对值不等式的解法: |ax+b|<c,相当于解不等式-c<ax+b<c, (当a<0的时候,不等号要改变方向 |ax+b|>c相当于解不等式ax+b>c或ax+b<-c 2、常见函数的定义域 3、函数的单调性 第一种方法用取值法:任取2个数x1,x2,且x1<x2, 若f(x1)<f(x2),则为增函数;若f(x1)>f(x2),则为减函数。 第二种方法用求导法(见后面)。 4、函数的奇偶性 令x=-x,若f(-x)=-f(x),则f(x)为奇函数; 若f(-x)=f(x),则f(x)为偶函数。 5、函数的周期性(三角函数) 向量和直线 1、向量 设a=(x1,y1)b=(x2,y2),则: 加法运算:a+b=(x1,y1)+(x2,y2)=(x1+x2,y1+y2) 减法运算:a-b=(x1,y1)-(x2y2)=(x1-x2:y1-y2) 数乘运算:ka=k(x1,y1)=(kx1,ky1) 内积运算:a*b=(x1,y1)(x2,y2)= x1x2 +y1y2 垂直向量:a⊥b= x1x2 +y1y2=0 平行向量:a//b= x1y2 +x2y1=0 向量的模: 重点是向量平行、垂直或求内积运算。 碰到向量的题目,直接根据公式代入即可。 2、直线方程的几种形式(记住其中一种就可以) 点斜式:y-yo=k(x-x0),已知斜率k和某点坐标(xo,yo) 斜截式:y=kx+b,已知斜率k和在y轴的截距b 3、点到直线的距离公式 等差数列 等比数列 绝对值不等式的解法: |ax+b|<c,相当于解不等式-c<ax+b<c, (当a<0的时候,不等号要改变方向) |ax+b|>c,相当于解不等式ax+b>c或ax+b<-c 平面解析几何 导数的应用 1、导数的几何意义 (1)几何意义:函数f(x)在点(x0,y0)处的导数值f'(x0),即为f(x)在点(x0,y0)处切线的斜率。 (2)常用导数公式:c为常数 2、函数单调性 f'(x)>0则f(x)在(a,b)内严格单调增加 f'(x)<0则f(x)在(a,b)内严格单调减少。 3、函数的极值、最大值、最小值 f'(x)=0的点----函数f(x)的驻点。设为x0 (1)若x< x0时,f'(x)>0;x> x0时,f'(x)<0,则f(x0)为f(x)的极大值点。 (2)若x<x0时,f'(x)<0;x> x0时,f'(x)0,则f(x0)为f(x)的极小值点 (3)如果f'(x)在x0的两侧的符号相同,那么f(x0)不是极值点。 (4)极值和端点的函数值中最大和最小的就是最大值和最小值。 概率与统计初步 1、互斥事件 2、样本统计 数学对于同学们来说确实是个头痛的事,估计看得懂的一个巴掌数得过来。但还是有方法,想在完全看不懂题目的情况下尽可能地拿到分吗?答案是可以有的。数学主要分为选择题+填空题+解答题,分值的分配是40+40+70=150。 首先是选择题,一共是十道题目。统计近几年的选择题答案,答案的分布式是很平均的,基本上每个选项都是差不多。还有就是这两年来,选择题第一道题目的答案跟最后一道题目的答案是一样的,所以在我们完全看不懂题目的前提之下,选择题方面建议是头尾选择一个选项,中间的其它8道题目选一个选项,例如:DBBBB,BBBBD。 具体的东西就由大家到了考场结合实际情况决定,但是一切的前提之下都是在你完全不会做的前提之下,如果会做的就直接做。还有不可以完全都选择一个选项,这样做是没有成绩的!! 填空题:填空题要当作选择题来答,假如答案是常数的话,出现-1,0,1,2,的可能性很大,根据自己的判断。 特别要提醒大家的是:完全不懂也不要放弃大题的分数 最后就是大题了!大题估计有很多学生会很头疼!其实不用着急,因为在这其中也是有迹可循的。一道大题一般情况下是最少8分的,而一道大题的答案主要分为四个部分: 第一个部分是一个‘解’字,会有1分!这个我想大家都会了; 第二部分就是条件部分,这个在我们的数学试卷的题目上是有写的,照抄我想大家也会啦,这是1-2分; 之后就是分析过程还有答案分,这就不是我们所能做的了,加起来8分!举个例子题目条件为A=1,B=2问C=? D=? 我就回答解:∵A=1,B=2∴C=3(随便写),之后就是∵A=1,B=2,C=3∴D=4(随便写)。这样子,一道我们完全看不懂的大题总分8分我们就可以拿到2分左右。 前面几道题一般是解答题,特点是一层一层往下求解,最终求出一个答案。完全不懂怎么办? 策略:我们可以按照题目,变化一下公式,能顺着下来多少就是多少,最后一定把答案写上(假如真的不懂,可以随便想一个写上,当然也是根据自己的判断,有些答案是0或者1,有些函数解)。 总之,无论任何题型,想办法往最可能的答案写,无论懂否,一定要往下写,尽量多写。不能是空白。
